Sabtu, 13 Maret 2021

Peluang Kejadian Majemuk

Peluang kejadian majemuk merupakan peluang dengan kejadian yang terjadi lebih dari satu kejadian. Ada 4 macam kejadian majemuk, yaitu : 

  1. Kejadian saling lepas
  2. Keladian tidak saling lepas
  3. Kejadian saling bebas
  4. Kejadian bersyarat.

 1. Kejadian Saling Lepas

 

Perhatikan diagram berikut!

Misalkan A dan B adalah dua kejadian dalam ruang sampel S. Kejadian A dan kejadian B merupakan kejadian saling lepas jika kejadian A dan kejadian B tidak memiliki irisan atau tidak memiliki anggota yang sama. Dengan kata lain, kejadian A dan kejadian B merupakan dua kejadian saling lepas apabila A  B = { } atau n(A B) = 0. Pada kejadian saling lepas berlaku :   P(A U B) = P(A) + P(B)

    Contoh 1.

    Pada pelemparan 2 koin secara bersamaan, tentukan Peluang munculnya satu gambar atau muncul 2 gambar.

    Penyelesaian


Pada pelemparan 2 koin sebanyak 1 kali, maka ruang sampelnya adalah S ={AA, AG, GA, GG} dan n(S) = 4

Misalkan A adalah kejadian muncul satu gambar, maka A = {AG, GA} dan n(A) = 2

Misalkan B adalah kejadian muncul dua gambar, maka B = {GG} dan n(B) = 1

Perhatikan bahwa A dan B tidak memiliki unsur yang sama, sehingga AB={ } atau n(AB) = 0, maka kedua kejadian merupakan kejadian saling lepas.

Dengan demikian peluang munculnya 1 gambar atau muncul 2 gambar adalah

    Contoh 2.

    Pada pelemparan dua buah dadu, tentukan Peluang munculnya jumlah mata dadu 5 atau muncul jumlah mata dadu 8.

    Penyelesaian


Pada pelemparan dua buah dadu, ruang sampelnya dapat disajikan pada tabel berikut

  

 

DADU 2

1

2

3

4

5

6



DADU   

 1

 

1

(1,1)

(1,2)

(1,3)

(1,4)

(1,5)

(1,6)

2

(2,1)

(2,2)

(2,3)

(2,4)

(2,5)

(2,6)

3

(3,1)

(3,2)

(3,3)

(3,4)

(3,5)

(3,6)

4

(4,1)

(4,2)

(4,3)

(4,4)

(4,5)

(4,6)

5

(5,1)

(5,2)

(53)

(5,4)

(5,5)

(5,6)

6

(6,1)

(6,2)

(6,3)

(6,4)

(6,5)

(6,6)


dengan n(S) = 36.

Misalkan A adalah kejadian muncul jumlah mata dadu 5, maka A = {(1,4), (2,3), (3,2), (4,1)} dan n(A) = 4

Misalkan B adalah kejadian muncul jumlah mata dadu 8, maka B = {(2,6), (3,5), (4,4), (5,3), (6,2)} dan n(B) = 5

Karena A  B = { } atau n(A  B) = 0, maka kedua kejadian merupakan kejadian saling lepas, sehingga peluang munculnya jumlah mata dadu 5 atau muncul jumlah mata dadu 8 adalah


Soal latihan 1

    1. Pada pelemparan 3 koin secara bersamaan, tentukan peluang munculnya 2 angka atau 2 gambar.
    2. Pada pelemparan dua buah dadu, tentukan Peluang munculnya jumlah mata dadu 4 atau muncul jumlah mata dadu 10.   

    2. Kejadian Tidak Saling Lepas

     

    Perhatikan diagram berikut!



     


    Misalkan A dan B adalah dua kejadian dalam ruang sampel S. Kejadian A dan kejadian B merupakan kejadian tidak saling lepas jika kejadian A dan kejadian B memiliki irisan atau memiliki anggota yang sama.Dengan kata lain, kejadian A dan kejadian B merupakan kejadian tidak saling lepas apabila    (AB) ≠ { } atau n(AB) ≠ 0.

    Pada kejadian tidak saling lepas berlaku :  

                P(A U B) = P(A) + P(B) – P(A  B)

     

    Contoh 3.

    Pada pelemparan 2 koin secara bersamaan, tentukan Peluang kejadian muncul paling sedikit satu gambar atau muncul paling sedikit satu angka.

     

    Penyelesaian

    Pada pelemparan 2 koin secara bersamaan, maka ruang sampelnya adalah S ={AA, AG, GA, GG}  dan n(S) = 4

    Misalkan A adalah kejadian muncul paling sedikit satu gambar, maka 

    A = {AG, GA, GG} dan n(A) = 3

    Misalkan B adalah kejadian muncul paling sedikit satu angka, maka 

    B = {AG, GA, AA} dan n(B) = 3

    Karena ada anggota A yang menjadi anggota B dan juga sebaliknya, sehingga  

    (A  B) = {AG, GA}, dan n(A  B) = 2, maka kedua kejadian merupakan kejadian tidak saling lepas.

    Dengan demikian Peluang kejadian muncul paling sedikit satu gambar atau muncul paling sedikit satu angka adalah :

            

    Contoh 4.

    Pada pelemparan dua buah dadu, tentukan Peluang munculnya jumlah mata dadu bilangan prima < 7 atau muncul jumlah mata dadu bilangan genap < 6

     

    Penyelesaian

    Pada pelemparan dua buah dadu, ruang sampelnya dapat disajikan sebagai berikut

     

     

    DADU 2

    1

    2

    3

    4

    5

    6

    DADU 1

     

    1

    (1,1)

    (1,2)

    (1,3)

    (1,4)

    (1,5)

    (1,6)

    2

    (2,1)

    (2,2)

    (2,3)

    (2,4)

    (2,5)

    (2,6)

    3

    (3,1)

    (3,2)

    (3,3)

    (3,4)

    (3,5)

    (3,6)

    4

    (4,1)

    (4,2)

    (4,3)

    (4,4)

    (4,5)

    (4,6)

    5

    (5,1)

    (5,2)

    (53)

    (5,4)

    (5,5)

    (5,6)

    6

    (6,1)

    (6,2)

    (6,3)

    (6,4)

    (6,5)

    (6,6)

     

    dan n(S) = 36.

    Misalkan A adalah kejadian muncul jumlah mata dadu bilangan prima < 7, maka A = {(1,1), (1,2), (2,1), (1,4), (2,3), (3,2), (4,1)}  dan n(A) = 7

    Misalkan B adalah kejadian muncul jumlah mata dadu bilangan genap < 6, maka B = {(1,1), (1,3), (2,2), (3,1)}  dan n(B) = 4

    Karena ada anggota A yang menjadi anggota B dan juga sebaliknya, sehingga  A  B = {(1,1)}, dan n(A  B) = 1, maka kedua kejadian merupakan kejadian tidak saling lepas.

    Dengan demikian Peluang kejadian muncul jumlah mata dadu bilangan prima < 7 atau muncul jumlah mata dadu bilangan genap < 6 adalah


    Contoh 5.

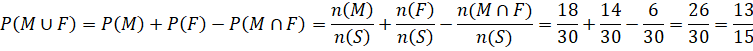
    Jumlah siswa pada suatu kelas adalah 30 orang. 18 orang dari siswa kelas tersebut suka matematika, dan 14 orang suka fisika, serta 6 orang suka keduanya. Jika dari kelas itu diambil 1 orang siswa tentukan :
    a. Peluang yang terambil adalah siswa yang suka matematika atau fisika.
    b. Peluang yang terambil adalah siswa yang tidak suka kedua-duanya
    .

     

    Penyelesaian

    Dari soal di atas ruang sampelnya adalah seluruh siswa di kelas tersebut yaitu sebanyak 30 orang atau n(S) = 30.

    Misalkan M adalah siswa suka Matematika, maka n(M) = 18

    Misalkan F adalah siswa suka Fisika, maka n(F) = 14

    Ada siswa yang suka keduanya yaitu sebanyak n(M  F) = 6, maka kedua kejadian merupakan kejadian tidak saling lepas.

    Dengan demikian :

    a. Peluang kejadian yang terambil adalah siswa yang suka matematika atau fisika adalah :

           
         b. Peluang yang terambil adalah siswa yang tidak suka kedua-duanya
        
         

        Alternatif lain.

         Masalah di atas dapat disajikan ke dalam Diagram venn berikut

                











        Berdasarkan diagram venn di atas tampak bahwa siswa yang suka Matematika atau            Fisika ada 26 orang atau n(M F) = 26. 

        Sedangkan siswa yang tidak suka keduanya ada 4 orang atau 

        Dengan demikian :

        a. Peluang kejadian terambil siswa yang suka matematika atau fisika adalah :

            

        b. Peluang kejadian terambil siswa yang tidak suka keduanya adalah

            

      

    Soal latihan 2 

    1. Pada pelemparan sebuah dadu, tentukan Peluang munculnya mata dadu > 2 atau muncul mata dadu < 5
    2. Pada pelemparan 2 dadu secara bersamaan, tentukan Peluang muncul jumlah mata dadu habis dibagi 5 atau muncul jumlah mata dadu kurang dari 6
    3. Dari 36 siswa pada sebuah kelas, 20 orang gemar olah raga futsal, 18 orang gemar olah raga basket,  12 orang siswa gemar keduanya. 
      Jika dipilih 1 orang secara acak tentukan: 
      a) peluang siswa yang terpilih gemar futsal atau basket   
      b) peluang siswa yang terpilih tidak suka kedua-duanya
                        

      

    3. Kejadian Saling Bebas

     

    Kejadian A dan B dikatakan kejadian saling bebas jika kejadian A tidak mempengaruhi kejadian B dan kejadian B tidak mempengaruhi kejadian A.

    Ciri kejadian saling bebas adalah kedua kejadian biasanya berasal dari peristiwa yang berbeda.

      Pada kejadian saling bebas berlaku     P(A  B) = P(A).P(B)

     

    Contoh 6.

    Kotak I berisi 3 bola merah dan 2 bola putih, Kotak II berisi 3 bola hijau dan 5 bola biru. Dari masing – masing kotak diambil 2 bola sekaligus secara acak. Tentukan peluang terambilnya 2 bola merah dari kotak I dan 2 bola biru dari kotak II. (Soal Ujian Nasional tahun 2001)

     

    Penyelesaian

    Kotak I berisi 5 bola terdiri dari 3 bola merah dan 2 bola putih. 

    Jika diambil 2 bola sekaligus secara acak, maka banyak anggota ruang sampelnya adalah 

    Kotak II berisi 8 bola terdiri dari 3 bola hijau dan 5 bola biru. 

    Jika  diambil 2 bola sekaligus secara acak, maka banyak anggota ruang sampelnya adalah

    Misalkan A adalah kejadian terambilnya 2 bola merah dari kotak I, maka

    Misalkan B adalah kejadian terambilnya 2 bola biru dari kotak II, maka


    Dengan demikian peluang kejadian terambilnya 2 bola merah dari kotak I dan 2 bola biru dari kotak II adalah

     

    Contoh 7.

    Sebuah kotak berisi 5 bola merah, 4 bola biru, dan 3 bola kuning. Dari dalam kotak diambil 3 bola sekaligus secara acak, tentukan peluang terambil  2 bola merah dan 1 bola biru. (Soal UN tahun 2005)

     

    Penyelesaian

    Kotak berisi 12 bola terdiri dari  5 bola merah, 4 bola biru, dan 3 bola kuning. Jika diambil 3 bola sekaligus secara acak,   maka banyak anggota ruang sampelnya adalah 

    Misalkan A adalah kejadian terambilnya 2 bola merah, maka
    Misalkan B adalah kejadian terambilnya 1 bola biru, maka


    Banyaknya kejadian terambil 2 bola merah  dan 1 bola biru adalah 
    Dengan demikian peluang kejadian terambilnya 2 bola merah  dan 1 bola

    biru adalah

     

    Contoh 8.

    Andi dan Budi mengikuti suatu tes. Peluang Andi dan Budi untuk lulus berturut-turut adalah 0,85 dan 0,6. Tentukan peluang Andi lulus tetapi Budi tidak lulus. 

     

    Penyelesaian

    Misalkan A adalah peluang Andi lulus, maka P(A) = 0,85, sehingga peluang Andi tidak lulus adalah  P(Ac) = 1 – P(A) = 1 – 0,85 = 0,15

    Misalkan B adalah peluang Budi lulus, maka P(B) = 0,6 , sehingga peluang Budi tidak lulus adalah  P(Bc) = 1 – P(B) = 1 – 0,6 = 0,4

    Dengan demikian peluang Andi lulus tetapi Budi tidak lulus adalah P(A  Bc) = P(A).P(Bc) = 0,85. 0,4 = 0,34

     

     

    Soal latihan 3

    1. Pada kotak I terdapat 4 bola merah dan 3 bola kuning dan pada kotak II terdapat 3 bola hijau dan 2 bola biru. Jika dari masing-masing kotak diambil 1 bola secara acak, tentukan peluang kejadian terambilnya bola kuning dari kotak I dan bola hijau dari kotak II.
    2. Sebuah kotak yang berisi 6 bola putih dan 4 bola hijau diambil 2 bola sekaligus secara acak. Tentukan peluang terambil 1 bola putih dan 1 bola hijau.
    3. Peluang A lulus SNMPTN adalah 0,98 sedangkan peluang B lulus SNMPTN 0,95. Tentukan Peluang yang terjadi jika A lulus SNMPTN dan B gagal SNMPTN.

     

    4.  Kejadian bersyarat

     

    Misalkan A dan B adalah dua kejadian dalam ruang sampel S. Kejadian A dengan syarat B adalah kejadian munculnya A dengan syarat kejadian B terjadi terlebih dahulu.


    Kejadian munculnya A dengan syarat B ditulis A|B.

    Demikian juga sebaliknya, kejadian B dengan syarat A, ditulis B|A adalah kejadian munculnya B dengan syarat kejadian A terjadi terlebih dahulu.

     

    Pada kejadian bersyarat berlaku


    Contoh 9.

    Sebuah kotak berisi bola merah dan bola putih dan masing-masing bola tersebut diberi label X atau Y. Ada 6 bola merah, dengan 5 bola berlabel X dan 1 bola berlabel Y. Ada 5 bola putih, dengan 3 berlabel X dan 2 berlabel Y. Jika diambil 1 bola secara acak dari kotak tersebut, tentukan peluang kejadian terambil bola hitam bertanda X.

     

    Penyelesaian

    Kejadian ini merupakan kejadian bersyarat dimana yang menjadi syaratnya adalah bola bertanda X.

    Perhatikan tabel.

    Tanda

    Merah

    Putih

    Total

    X

    5

    3

    8

    Y

    1

    2

    3

    total

    6

    5

    11

     

    Seluruh bola ada 11, maka n(S) = 11

    Misalkan A kejadian terambil bola bertanda X. Pada tabel tampak bahwa  ada 8 bola bertanda X, maka n(A) = 8, dan

    Pada tabel tampak bahwa bola hitam dan bertanda X ada sebanyak 5, maka n(AB) = 5, dan  

    Dengan demikian peluang kejadian terambil bola hitam bertanda x adalah



    Contoh 10.

    Dalam sebuah kotak terdapat 6 bola merah dan 4 bola putih. Jika dari dalam kotak diambil 2 buah bola satu persatu tanpa pengembalian, tentukan peluang kejadian terambil bola merah pada pengambilan pertama dan bola putih pada pengambilan kedua.

     

    Penyelesaian

    Pengambilan pertama

    Dalam kotak terdapat  6 bola merah dan 4 bola putih dengan jumlah 10 buah. Jika diambil 1 bola secara acak


    Misalkan A kejadian terambil bola merah pada pengambilan pertama, maka    

    sehingga


    Pengambilan kedua

    Karena bola yang sudah diambil pada pengambilan pertama tidak dikembalikan, maka bola dalam kotak sekarang tinggal 5 bola merah dan 4 bola putih dengan jumlah 9 buah. Jika diambil lagi 1 bola secara acak, maka

    Misalkan  kejadian terambil 1 bola putih pada pengambilan kedua setelah kejadian pengambilan pertama, maka 

    sehingga 


    Misalkan B kejadian terambil bola putih pada pengambilan kedua,

    maka peluang kejadian terambil bola merah pada pengambilan pertama dan bola putih pada pengambilan kedua adalah 



                     

    Soal latihan 4 

    1. Sebuah Sekolah berencana memilih gurunya untuk mengikuti pelatihan. Ada 5 orang guru pria, terdiri dari 3 orang guru matematika dan 2 orang guru IPA. Ada 3 guru wanita, terdiri dari 1 orang guru matematika dan 2 orang guru IPA. Tentukan peluang yang terpilih mengikuti pelatihan adalah guru pria dengan syarat merupakan guru IPA. 
    2. Dalam sebuah kotak terdapat 5 bola merah dan 3 bola kuning. Jika dari dalam kotak diambil 2 buah bola satu persatu tanpa pengembalian, tentukan peluang kejadian terambil kedua-keduanya bola merah (terambil bola merah pada pengambilan pertama dan bola merah pada pengambilan kedua). 

    Tidak ada komentar:

    Posting Komentar